什么是涡街流量计
涡街流量计
涡街流量计是一种基于 “卡门涡街” 原理的速度式流量测量仪表,主要用于测量液体、气体或蒸汽的体积流量。
一、工作原理
1.卡门涡街现象当流体流经管道内的漩涡发生体(如圆柱体、三角柱等)时,在漩涡发生体下游会交替产生两列不对称的漩涡,这些漩涡如同街道两侧的路灯般排列,称为 “卡门涡街”。
漩涡的频率(f)与流体的流速(v)、漩涡发生体的宽度(d)及流体的雷诺数有关,公式为:
![]()
其中,St为斯特劳哈尔数(无量纲常数,在一定雷诺数范围内近似为定值)。
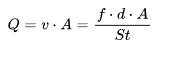
2.流量计算
通过测量漩涡频率f,结合管道截面积A,可计算出流体的体积流量Q:
![]()
二、结构组成
1.漩涡发生体形状:常见有圆柱体、三角柱、矩形柱等,三角柱因产生的漩涡稳定、信号强而应用广泛。
- 作用:强制流体产生漩涡,并通过其形状优化漩涡的稳定性和频率一致性。
2.频率检测元件类型:常用压电传感器、电容式传感器、热敏电阻等,用于检测漩涡产生的振动或压力变化,输出电信号。
3.信号处理单元功能:对检测元件的电信号进行放大、滤波、数字化处理,计算出漩涡频率和流量值,并通过显示面板或通信接口输出。
4.管道及连接部件包括前、后直管段(确保流体流动稳定)、法兰或螺纹连接件等。
三、主要特点
1.优点
- 测量精度较高(一般为 ±1%~±1.5%),重复性好。
- 测量范围宽,量程比可达 10:1~20:1。
- 无运动部件,压损较小,可靠性高,维护量少。
- 可测量液体、气体、蒸汽,适用性较广。
2.缺点
- 对流体的雷诺数有一定要求,低雷诺数时测量误差增大。
- 对管道内流速分布敏感,需严格保证前、后直管段长度(通常前 10D、后 5D,D 为管道内径)。
- 不适用于低流速、高粘度或含大量杂质的流体(如浆液)。
- 振动环境可能干扰测量信号,需采取减振措施。
四、适用场景
1.工业过程测量常用于石油、化工、冶金、电力等行业,测量水、油、蒸汽、空气等介质的流量。例:化工管道中蒸汽流量监测、污水处理厂的污水流量计量。
2.贸易结算与节能监测因精度较高,可用于能源计量(如蒸汽流量的贸易结算)或设备能耗分析。
3.洁净流体测量适合清洁、低粘度的流体,不适合含颗粒、纤维或易结晶的介质。
五、选型与安装要点
1.选型关键参数介质类型、温度、压力、流速范围;
管道尺寸、安装方式(法兰连接、夹持式等);
输出信号类型(如 4~20mA、脉冲、RS485 等)。
2.安装要求确保前、后直管段长度,避免阀门、弯头、变径管等对流速分布的干扰;
传感器与管道同轴安装,避免偏心;
振动环境中需加装减振支架,气体测量时避免管道内有积液。
友情链接
服务范围
工业自动化产品专业代理,品质保证
技术领先,价格优势,报价迅速,产品全面
技术选型,产品报价,销售安装,工程售后,为您提供工业自动化一站式服务
自动化专业销售
Tel. 19925440503(微信同号) WhatsApp: +86 18576429229
联系工程师
扫码添加WhatsApp
