什么是超声波流量计
超声波流量计(Ultrasonic Flowmeter)
超声波流量计是一种利用超声波在流体中传播时因流体流动而产生的速度变化来测量流量的仪表。它通过检测超声波在顺流和逆流方向上的传播时间差、相位差或频率差,计算出流体的平均流速,进而求得流量。由于无需直接接触流体且安装灵活,广泛应用于给排水、石油化工、冶金、电力、水处理等行业,尤其适合大口径管道、强腐蚀或高粘度流体的测量。
1.工作原理
超声波流量计的核心原理基于超声波在流动介质中的传播特性,主要有以下三种测量方法:
(1)时差法(最常用)
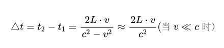
原理:在管道两侧安装两对超声波换能器(发射端和接收端),分别测量超声波顺流(与流体同向)和逆流(与流体反向)的传播时间t1和t2。
数学关系:

其中:△t为时间差,
L 为超声波在流体中的传播路径长度,
v 为流体平均流速,
c 为超声波在静止流体中的传播速度。
结论:时间差△t与流速 v 成正比,通过计算可得出流量
(A 为管道截面积)。
(2)相位差法
利用顺流和逆流超声波的相位差与流速的关系测量,适用于高频超声波场景,但易受温度和噪声干扰。
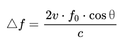
(3)频差法(多普勒法)
原理:当流体中含有悬浮颗粒或气泡时,超声波经颗粒反射后会产生多普勒频移△f。
数学关系:

其中,f0为发射超声波频率
θ为超声波传播方向与流体流向的夹角
应用:适用于测量含有杂质的流体(如污水、矿浆),无需已知流体声速,但精度低于时差法。
(1)优点:
- 非接触式测量:无需插入管道,对流体无阻碍,无压损,适合贵重或危险流体。
- 安装灵活:支持外夹式( clamp-on )安装,无需断管,适用于现有管道改造。
- 测量范围广:可测管径从几毫米到数米,流速范围 0.01~25 m/s,量程比达 100:1。
- 适用多种流体:可测量水、油、气、浆液等,尤其适合腐蚀、高温、高粘度流体。
- 智能化功能:现代仪表支持温度补偿、空管检测、数据存储及远程通讯(如 HART、Modbus)。
(2)缺点:
- 依赖流体特性:时差法要求流体均匀(无气泡或杂质),多普勒法需流体含足够反射颗粒(≥100 ppm)。
-
- 声速受温度影响显著,需温度补偿或已知流体声速。
-
- 安装要求高:外夹式需管道表面光滑、无结垢,且上下游直管段充足(上游≥10D,下游≥5D)。
-
- 插入式需确保探头与管道垂直,避免安装偏差影响精度。
-
- 低流速误差大:流速低于 0.3 m/s 时,时间差测量精度下降,可能需延长测量时间。
成本较高:大口径或高精度型号价格显著高于电磁或涡街流量计。
3.结构与分类
(1)按安装方式分类:
- 外夹式(非侵入式):换能器夹装在管道外壁,无需开孔,不接触流体,适合临时测量或不可中断的工艺流程。
-
- 常见类型:Z 法(适用于大管径)、V 法(适用于小管径)、W 法(多角度折射,提高精度)。
-
- 插入式(侵入式):换能器通过法兰或螺纹插入管道内部,直接接触流体,精度较高,适合长期在线监测。
- 管段式(一体式):换能器与测量管集成,需截断管道安装,精度最高,常用于标准计量场景。
(2)按测量原理分类:
- 时差型:用于清洁或低杂质流体(如水、油)。
- 多普勒型:用于含杂质或气泡的流体(如污水、矿浆)。
(3)按应用场景分类:
- 工业型:用于高温、高压、腐蚀环境(如化工管道)。
- 便携式:支持现场快速安装,用于临时检测或校准(如管网查漏)。
4.应用场景
(1)给排水与水利:测量自来水、污水、江河水的流量,用于管网监控、水资源计量和污水处理厂进出水监测。
(2)石油化工:测量原油、化工溶液、浆液的流量,尤其适合强腐蚀介质(如硫酸、氢氧化钠)的非接触式测量。
(3)电力行业:测量循环水、冷凝水、冷却水的流量,监控发电机组冷却系统效率。
(4)冶金与采矿:测量矿浆、矿粉悬浮液的流量,用于选矿工艺和尾矿处理。
(5)HVAC 系统:测量空调冷冻水、热水的流量,优化能源管理和计费。
5.安装与维护要点
(1)安装关键要求:
管道条件:确保管道充满流体(避免空管或非满管),外夹式需清理管道外壁锈迹、油漆或保温层。
-
-
- 选择直管段充足的位置(上游≥10D,下游≥5D),远离阀门、弯头、泵等扰动源。
-
换能器布置:外夹式需根据管径选择合适安装方式(Z 法 / V 法),确保两换能器对齐且声路穿过管道中心。
-
-
- 插入式需垂直于管道轴线安装,避免歪斜导致声路偏移。
-
温度补偿:高温场景需选用耐高温换能器或配置温度传感器,实时修正声速误差。
(2)维护注意事项:
定期检查安装状态:外夹式需确认换能器与管道贴合良好,无松动或移位。
清理杂质:多普勒型仪表若流体杂质减少(如污水变澄清),可能导致信号衰减,需重新评估适用性。
校准验证:通过便携式超声波流量计对比或离线校准(如容积法)确保精度,建议每年至少一次。
6.总结
超声波流量计以非接触、大管径适配和多功能性成为工业流量测量的重要工具,尤其在外夹式安装和复杂流体场景中优势显著。但其性能高度依赖流体特性、安装质量和声路条件,选型时需详细评估管道状态、流体成分及精度要求。随着数字信号处理技术的发展,现代超声波流量计已能通过智能算法降低噪声干扰,提升低流速测量稳定性,进一步拓展了应用场景。
友情链接
服务范围
工业自动化产品专业代理,品质保证
技术领先,价格优势,报价迅速,产品全面
技术选型,产品报价,销售安装,工程售后,为您提供工业自动化一站式服务
自动化专业销售
Tel. 19925440503(微信同号) WhatsApp: +86 18576429229
联系工程师
扫码添加WhatsApp
